"Таблетка знания" и необходимое разнообразие
Записка о развитии транспорта когнитивных сигналов
Триада Витрувия и Троичная Задача
Конструктивистская потребность в мир-системной социологии
Сравнение обобщений задач управления у КБ и в ТТС/ТК
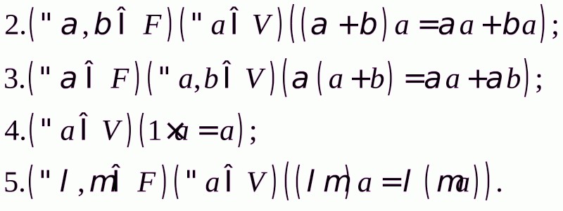
О требованиях к Т-языку
Оценочная шкала пассионарности, инвентонарности, этионарности
Что такое системная инженерия и в чём её главный мотив
О "чёрном ящике" и необъектно-ориентированном мышлении
О-язык, К-язык и Т-язык